
发布|依米星ABA
作者|XIAOXIAOYUE
如需转载,请后台留言联系授权。

限制性重复行为(RRB)是自闭症谱系障碍的主要特征之一,类似于我们常说的刻板行为。
值得注意的是,虽然限制性重复行为会对自闭症谱系障碍(ASD)儿童产生不良影响,但也可增加其学习和参与其它活动的积极性。
本文旨在研究由父母实施的行为干预对自闭症谱系障碍(ASD)儿童刻板行为的改善。
ABA文献解析
《自闭症谱系障碍儿童高阶限制性重复行为的治疗》
于2018年6月发表在Journal of Autism and Developmental Disorders.

本研究采用多基线实验设计,研究家长实施行为干预对三名ASD儿童的效果。
行为干预包括自我管理与其它符合关键反应训练(PRT)的干预。
在整个研究过程中,家长为孩子们提供机会,让他们在做与刻板行为相关的活动中改变自己的游戏兴趣和游戏节奏。
孩子则在这些非刻板行为的活动中获得分数,并换取奖励。
结果显示,父母实施的行为干预增强了亲子间互动,促使儿童更多地参与家庭活动,并降低了儿童高阶受限重复行为(H-RRB)。
被试资料
儿童1
年龄:4岁11个月 女
诊断:阿斯伯格症
表达能力:4岁10个月
接收能力:3岁11个月
游戏能力:兴趣狭隘,有刻板行为
儿童2
年龄:4岁9个月 男
诊断:自闭症
表达能力:2岁5个月
接收能力:2岁6个月
游戏能力:兴趣狭隘,有刻板行为,经常独自玩耍
儿童3
年龄:6岁9个月 男
诊断:自闭症
表达能力:2岁9个月
接收能力:3岁5个月
游戏能力:兴趣狭隘,有刻板行为,经常独自玩耍
研究方法
实验大部分在自然环境——家中展开,只有儿童 3 有部分时段在干预室展开。
研究分为25个时段(session),父母与孩子互动的每个时段长十分钟。
十分钟内,父母会鼓励儿童灵活地接受新选择,告知儿童这种行为可以获得积分。
当灵活地接受新选择时,儿童可在他们的自我记录表上画一个点,代表一个积分。
获得一定积分后,儿童可依照表格向父母兑换奖励,奖励也是由儿童自主选择的。
每周进行两次这样的亲子干预互动,每次持续60分钟。
儿童1的干预疗程持续10周,儿童1和儿童3的干预疗程持续12周。
结果分析
研究人员对比了父母实施行为干预前后的儿童高阶受限重复行为,发现:
总体而言,三名儿童的数据均表明,父母实施行为干预后,相对于基线水平,儿童行为的灵活性增加,儿童的重复行为问卷表(RBQ)总分下降,高阶受限重复行为减少,儿童的积极情感增多。
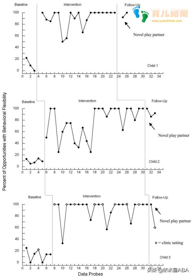
图1. 基线及干预中和干预后儿童行为的灵活性百分比

三个孩子的数据表明,相对于基线水平,在干预阶段,在父母提供了其它机会的情况下,儿童表现出行为灵活性的比例更高。
并且,这种灵活性在实验结束后任然能够维持。
图2. 基线及干预中和干预后儿童情感的综合评分

Negative--消极情感: 孩子似乎对活动不感兴趣,而且不快乐。孩子可能会哭或发脾气,似乎不喜欢这个活动。
Neutral affect-- 中性情感:孩子似乎并不是特别感兴趣,也没有表现出明显的快乐。
Positive affect--孩子对活动表现出兴趣和快乐。孩子很享受这个活动,会适当地微笑或大笑。
图2显示了通过观看父母和孩子之间的互动视频,并根据特定的标准对儿童情感进行综合评分。
可以看出,在基线阶段,儿童的消极情感较多;
干预后,三名儿童均从消极情感转变为中性及积极情感并能维持。
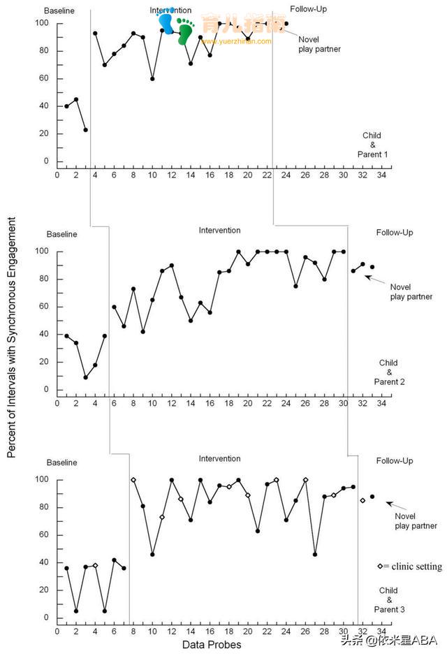
图3. 基线及干预中和干预后儿童同步参与活动的间隔百分比

图3展示了基线及干预中和干预后儿童在活动中的参与率。
可以看出,在基线阶段,儿童同步参与活动的比例很低;
经过干预,比例大大提高,有时甚至达到100%。
在后期跟踪阶段仍然远远高于基线水平。
分析:
研究证明,父母实施的行为干预增强了亲子间互动,促使儿童更多地参与家庭活动并降低了儿童高阶受限重复行为(H-RRB)。
同时,这些行为的改善在实验结束后任然能够维持在一个相当不错的水平。
结论
本研究将自我管理干预与自然发展行为策略相结合(Koegel et al. 2001),以促进自闭症儿童行为灵活性(弹性)的发展。
结果表明,改善行为弹性的行为治疗是可行的。
对这一领域的干预非常有必要,因为缺乏行为弹性会限制儿童获得更多适应性行为的机会,而阻碍他们学习新事物。
—END—

哇哇老师补充:
这篇文献的结果是很有实践意义的,你get了吗?


